문제

위와 같이 x축 변수는 1/T, y축 변수는 lnP(증기)로 주어진 그래프를 해석하는 문제를 풀이해봅시다.
풀이

가장 먼저 위와 같은 생각을 해보아야 하는데, 각 축의 변수들을 1/T와 lnP(증기)로 주었고 그래프가 직선형을 나타내므로 어떤 식을 이용해야할지 알아야합니다. 이 경우 클라우지우스 클라페이롱 식을 이용하면 됩니다. 그러면 그래프에서 기울기가 -(delta H/R)에 해당하며 y절편이 (delta S/R)임을 알 수 있습니다.

이제 보기 ㄱ을 해결해야 하는데 lnP가 -2일 때 x값을 확인해보니 위와 같습니다. 따라서 위의 빨간색 동그라미로 표시한 지점의 x 좌표를 찾아서 T 값을 구해주어야 합니다.

저는 내분점 공식을 이용했는데 그냥 적절히 칸 수를 세어서 구해줘도 됩니다. 여기서 x축값이 역수로 되어있어서 헷갈릴 수 있는데, 1/T 값이 아니라 T 값을 구해주는 것이므로 다시 역수를 취해주어야 합니다.

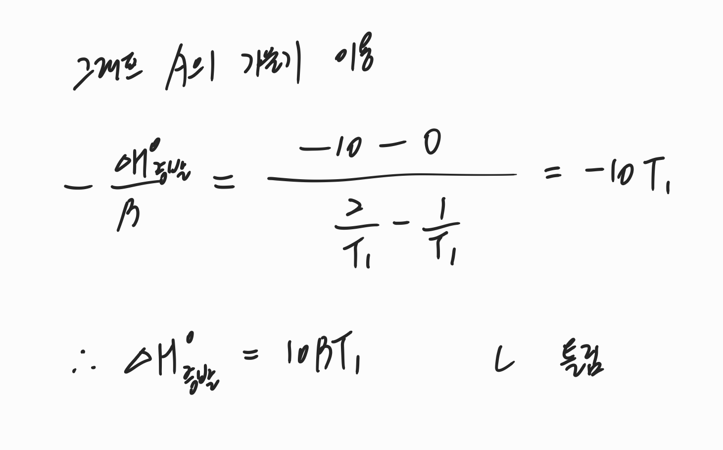
보기 ㄴ에서는 물질 A가 증발할 때의 엔탈피 변화량을 구하라고 했는데, 위에서 식을 해석할 때 봤듯이 그래프의 기울기가 증발 엔탈피 변화량과 관계있으므로 그래프의 기울기를 구해주어야 합니다. 따라서 위의 두 점을 이용하여 그래프 A의 기울기를 구해주도록 합시다.

그러면 위와 같이 계산됨을 확인할 수 있으며 보기에서는 5RT_1이라고 하였는데 직접 계산해본 결과 10RT_1이 나오므로 보기 ㄴ도 틀렸음을 알 수 있습니다.

마지막으로 보기 ㄷ에서는 두 그래프의 증발 엔트로피 변화량을 비교하라고 하였는데, 역시 Clausius-Clapeyron 식을 이용하여 생각해보면 y절편이 증발 엔트로피 변화량과 관련되어있는 변수이므로 두 그래프의 y절편을 비교해주면 됩니다. 따라서 위와 같이 생각해주면 그래프 A의 y절편이 더 크므로 A의 증발 엔트로피 변화량이 더 큼을 알 수 있고 따라서 보기 ㄷ도 맞습니다.
따라서 맞는 보기는 ㄱ과 ㄷ이고 정답은 4번이 됩니다.
'자연과학(PEET) > 일반화학' 카테고리의 다른 글
| [상평형] 평형점을 주고 온도를 변화시켜 일부 승화시키는 문제 (2015학년도 21번 풀이) (0) | 2021.02.27 |
|---|---|
| [증기압] 액체가 섞인 실린더에서 압력을 구하는 문제 (2016학년도 8번 풀이) (0) | 2021.02.27 |
| [기체] 압축 인자 Z와 실제 기체 상태 방정식의 인자 a, b의 해석과 비교 문제 (2019학년도 20번 풀이) (0) | 2021.02.27 |
| [기체/액체] 분리된 용기 내 증기압과 상평형에 관한 문제 (2013학년도 22번 풀이) (0) | 2021.02.26 |
| [상평형] 용액의 증기압과 관련된 활용법과 예제들 (이상기체 상태방정식, 라울의 법칙 활용) (0) | 2021.02.25 |