시작하기 전에
세포는 대사경로를 통해 분자의 양을 조절할 수 있습니다. 그 중 주목할만한 특징이 다른 자리 조절자인데 이 경우 생성물이 비가역 1단계 효소를 조절하는 것입니다. 그리고 물론 정반응, 역반응에 모두 효소가 관여할 경우 더 정교한 조절이 가능하게 됩니다.

그리고 이 정도 반응식과 효소(반응 장소) 정도는 알아두면 좋을 것 같습니다.
효소의 기능
효소는 생체 촉매로써 화학반응에 필요한 활성화 에너지를 낮추어 반응 속도를 증가시키는 역할을 하는 단백질입니다. (이 때 역반응의 활성화에너지 역시 낮아지므로 반응의 평형상수는 변하지 않습니다.) 기질특이성(효소 종류에 맞는 기질이랑만 결합)이 있기 때문에 단백질의 3차 구조를 인식할 수 있습니다.
일반적으로 효소와 기질 사이의 반응은 다음의 형태를 따름을 알아야합니다. (E는 효소 : enzyme, S는 기질 : substrate, P는 생산물 : product)
E + S <-> ES -> E + P
이것은 미카엘리스-멘텐 식에서도 다루었으므로 확인해주시면 되고, 대략적으로 시간에 따라 다음과 같은 농도 변화를 가집니다.

효소의 농도는 시간이 지나도 0으로 수렴하지 않습니다. 효소가 재활용되고 있음을 확인해야합니다.
금속이온이나 유기물(NAD+, FAD)의 경우 조효소로써 작용하여 효소와 기질이 더 잘 결합하게 도와주는 역할을 합니다. 금속이온은 ES 복합체를 더 안정하게 만들고, 유기물 조효소의 예시인 NAD+이나 FAD의 경우 효소의 기능을 도와주며 다음과 같은 반응을 합니다.
H+ + 2e- -> H-
NAD+ + H- (H+ + 2e-) -> NADH
FAD + 2H (2H+ + 2e-) -> FADH2
동위효소
동위효소(isozyme)는 같은 효소임에도 분비 장소에 따라 성질이 약간씩 다른 효소를 의미합니다. 다른 두 유전자 자리(이를테면 A와 B)에서 유전자 하나씩 가져와서 AB라는 복합적인 유전자가 구성되는 것입니다. 물론 동위효소는 동일한 반응의 촉매로 사용됩니다. 여기서 비가역 반응의 경우에는 헥소키나아제, 가역 반응의 경우 LDH가 대표적인 예시입니다.
헥소키나아제에는 Hexokinase1과 Hexokinase4가 있는데, Hexokinase1은 근육에 존재하고 Hexokinase4는 간에 존재합니다.

근육세포 주변에는 glucose가 소량만 다니는데, GluT4를 통해 근육세포로 들어옵니다. 근육에는 hexokinase1이 있는데, K_m이 작아서 소량의 glucose만 들어와도 반응을 잘해줍니다. 대신 음성피드백이 존재하여 g-6-p가 많이 생성될수록 반응을 억제하는 특징이 있습니다. (V_max가 작다.)

Hexokinase4의 경우에는 간에 존재한다고 했죠. 간 주변에는 간문맥이 있고, 그 옆 간세포에는 저번에도 말했듯 GluT2가 있습니다. 간문맥에서 GluT2를 통해 간세포로 이동한 glucose는 hexokinase4에 의해 g-6-p로 변환됩니다. 이 때 중요한 점은 glucose가 워낙 많이 유입되므로 hexokinase4의 K_m은 크고, 반응 진행을 잘 안해줍니다. 대신 이 때 g-6-p는 음성 피드백이 작용하지 않으므로 계속해서 반응이 일어납니다.
이처럼 동위효소(Isozyme)는 다른 환경에서 작용하며 적응하고, 서로 다른 유전자에서 발현되어 좌위가 다르다고 표현합니다. 같은 반응을 촉매하지만 아미노산의 서열이 다른 효소들입니다.
비가역반응의 대표적인 동위효소 예시로는 LDH(Lactate DeHydrogenase)라는 젖산탈수효소가 있습니다. 심장에서는 호기성, 근육에서는 혐기성으로 작용한다는 특징이 있습니다.

근육은 혐기성 환경이므로 혐기성의 LDH가 작용하여 NAD+를 재생하는 방향으로 잘 작용합니다. 혐기성 LDH는 혐기성 환경에 많고 호기성 환경에 적습니다. 즉 근육에 많고 심장에 적습니다.

근육에서 생성된 젖산은 간으로 가기도 하고 심장으로 가기도 합니다. 간은 역시 혐기성 환경이고 혐기성의 LDH가 작용하며, 피루브산을 당으로 합성하여 저장합니다. 심장은 호기성 환경이므로 호기성의 LDH가 작용합니다. 이 때 심장의 LDH 동위효소는 피루브산에 의해 음성피드백이 작용하여 에너지 생산을 줄이고 근육도 에너지를 더 생산할 수 있도록 해줍니다. 그리고 역시 중요한 것은 근육의 LDH와 심장의 LDH는 동위효소로써 서로 다른 유전자 좌에 의해 암호화되어있다는 것을 알아야 합니다.
+ 서로 다른 종의 체내에 있는 같은 종류의 효소여도, 기질특이성에 의해 기질은 같지만 구조는 다릅니다. 왜냐하면 다른 유전자로부터 전사, 번역되어 만들어지기 때문입니다. 따라서 당연히 DNA 구조도 다르겠죠. (Anfinsen의 실험에 의해, 아미노산 서열에 의해 만들어지는 1차 구조가 단백질의 3차 구조를 지배하기 때문)
(효소)반응속도론
아마 Isozyme에 대한 개념은 몰랐어도 효소반응속도론에 대해 아는 사람들은 많을 것이라고 생각합니다.

식에 등장하는 매개변수 몇 개가 있는데, 원서마다 기호가 다르므로 기호 정의부터 하고 넘어가겠습니다.
K_m은 1/2 V_max일 때 S의 농도, 즉 활성자리의 절반이 채워져 있을 때 기질의 농도를 의미하고, K_cat은 단위시간당 효소 1개가 기질(S)을 생산물(P)로 바꾸는 수(촉매전환율)를 말합니다.
따라서 시간당 효소가 기질을 생산물로 바꿔주는 수에 총 효소의 수를 곱하면 당연히 모든 효소가 참여했을 때 생산물이 시간당 만들어지는 개수 = 최대 만들어지는 속도가 되므로 V_max = K_cat * E_total이라는 식이 성립합니다.
K_cat/K_m은 촉매효율을 의미합니다.


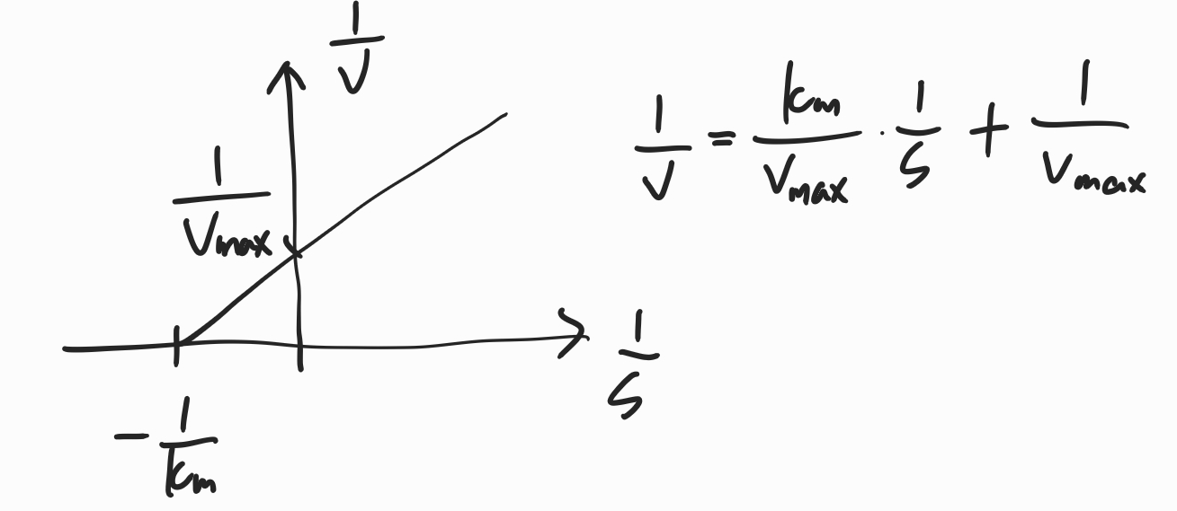
두 가지 식, 미카엘리스-멘텐 식과 라인위버-버크 식과 그에 대한 그래프와 절편 값 정도는 기억하고 있으면 좋습니다. 이후 각종 문제에서 다른 값들을 축으로 잡거나 요구한다면 식을 적절히 변화를 취해서 원하는 변수를 몰아서 식을 만들어주면 됩니다. 예를 들어서 y축에 V가 주어지고 x축에 V/S가 주어진다면, 라인위버-버크 식 양변에 V를 곱하고 넘겨서 적절히 정리해주면 V = -K_m * V/S + V_max 이렇게 정리가 되겠죠.
활성 조절
이번에는 효소의 활성을 조절하는 요소들에 대해서 알아봅시다. 첫 번째로 억제자가 있는데, 억제자는 ES 복합체가 생성되는 것을 억제해주는 역할을 합니다. 억제자의 종류는 아주 다양한데, 가역적 억제자가 있고 비경쟁적 억제자가 있으며 가역적 억제자에는 경쟁적, 비경쟁적, 무경쟁적 억제자가 있습니다.

경쟁적 억제자는 효소의 활성부위를 두고 기질과 경쟁하는 억제자를 말합니다. 경쟁적 억제자의 중요한 특징은 결과가 나타나는 시간이 길어지는 것뿐 나중 농도 자체에는 영향을 주지 않는다는 것입니다. 즉 기질이 충분한 상황에서 존재하는 효소 모두가 ES 복합체 형성이 된다는 것입니다.
ex ) 콜레스테롤이 합성될 때 HMG-CoA에 reductase가 작용하여 메발론산을 거쳐 콜레스테롤이 되는데 HMG-CoA의 경쟁적 억제자로 ~statin 계열(콜레스테롤 생성 막으니까 당연히 고지혈증 치료제)의 물질들이 있습니다.
ex ) 숙신산의 경쟁적 억제자 말론산

비경쟁적 억제자는 효소의 다른 자리에 결합하여 활성 부위 구조를 변화시키는 억제자입니다. 활성 자체를 비활성으로 만들어버릴 수 있습니다. 다른 자리 결합이므로 저해제와 기질이 서로 다른 자리에서 동시에 결합할 수 있습니다. 알로스테릭 효소와 유사한데, 비경쟁적 억제자는 음성의 효과 밖에 없지만 알로스테릭 효소는 생성물을 증가시키는 효과와 감소시키는 효과 둘 다 있다는 차이점이 있습니다.

무경쟁적 억제자는 기질과 아예 경쟁을 안하는 억제자입니다. 즉, E+S 단계에서 관여하는 것이 아닌 ES 복합체 자체에 I가 결합하여 억제를 해버립니다. ES form이 감소하므로 K_m만 감소하게 됩니다.

경쟁적 억제자와 비경쟁적 억제자를 처리했을 때 그래프는 위와 같이 변합니다. 즉 경쟁적 억제자는 결과를 늦추기만 할 뿐 결국 같은 반응속도에 도달합니다. 비경쟁적 억제자는 최종 반응속도도 감소합니다.
** 그럼 무경쟁적 억제제는 어떤 차이가 있는가? 무경쟁적 억제자는 V_max도 감소하지만 K_m도 감소합니다. 즉 K_m의 차이를 알기 위해 라인위버-버크 그래프가 있으면 더 좋습니다.
비가역적 억제자는 말 그대로 억제자가 효소에 결합하면 다시 분리되지 않는 억제자를 말합니다. 효소에 억제자가 공유결합을 통해 결합합니다. 대표적인 예시로는 사린(치료제 아트로핀), 페니실린이 있습니다.
알로스테릭 조절에 대해 다음으로 알아봅시다. 크게 두 가지 종류가 있습니다.
먼저 음성피드백으로 조절하는 종류가 있습니다. 비가역 1단계(진입 단계)를 조절합니다. 반응물은 효소를 활성화시키고, 생성물은 효소를 비활성화시킵니다. 되먹임억제이라고도 합니다.

그러니까 대충 위와 같은 느낌이죠. 대표적인 예시로는 F-6-P(과당6인산)이 있습니다.

효소 PFK-1이 작용하여 F-6-P를 반응시켜 과당1,6-2인산을 생성하는데, 이 때 PFK-1에는 ATP 결합부위가 2개 존재하며 하나는 조절부위로써 K_m이 큰 부위이고, 다른 하나는 활성부위로써 K_m이 작은 부위입니다. ATP가 적을 때는 활성부위에 결합하여 ES 복합체의 양을 늘리고, ATP가 많을 때는 조절부위에 결합하여 ES 복합체의 양을 감소시키는 역할을 해줍니다. ES 복합체의 양이 적절히 조절되어야 PFK-1의 활성이 최고점이 됩니다.

위와 같은 그래프를 보면 F-6-P에 ATP 농도를 변화시키며 효소 활성을 확인할 때 나타나는 그래프입니다. 효소 활성 최고점 기준으로 왼쪽편은 변화가 없지만 오른쪽편은 알로스테릭 조절 부위에 해당하는 음성피드백이 작용하는 구간이므로 ATP가 아닌 AMP로 실험을 했을 때는 효소 자체의 기능에는 차이가 나타나지 않지만 알로스테릭(다른 자리) 효소 기능에 해당하는 부위에는 효소 활성의 차이가 나타나는 것입니다.
+ 효소활성 그래프의 모양이 S자로 나타난다면 알로스테릭 효소를 의미합니다.

협동효과는 효소들이 여러 개의 단위체를 구성하여 만드는 효과를 말합니다. 여러 개의 복합체 중에 하나의 단위체에 기질이 결합하면 다른 자리 효과들도 역시 변화하여 기질이 잘 결합하게 됩니다. 그래서 위와 같은 그래프를 구성하게 됩니다. K_m을 비교해보면. 1/2 V_max를 만드는 기질의 농도인 K_m 값이 단위체에서 더욱 작으므로 친화도가 더 좋다는 것을 알 수 있습니다. (단위체는 미카엘리스-멘텐 속도론을 따르며 복합체는 S자형, 알로스테릭 그래프를 가지고 있습니다.)
인산화에 의한 조절은 인산기를 붙이거나 떼어서 효소의 활성을 조절하는 것이고, 다음과 같은 예시들이 있습니다.
ex ) F-6-P(과당6인산)이 F1,6bisp(과당1,6이중인산)으로 만들어지는 과정에서 PFK-1 효소가 작용한다고 했었죠. 이 때 이 PFK-1 효소를 활성화시키는 F2,6bisp(과당2,6이중인산)이 있습니다.
인슐린은 혈당을 낮추는 작용을 해야하므로 PFK-2 + FBPase-2에서 인산을 떼서 PFK-2를 활성화시키고, 이에 따라 F2,6bisp를 낮추고, PFK-1를 높이고, 따라서 F-6-p가 F1,6bisp로 많이 변환되게하여 혈당을 낮춥니다.
글루카곤(간) 또는 에피네프린(간, 근육)은 혈당을 높이는 작용을 해야하므로 PFK-2 + FBPase-2에 인산을 붙여서 FBPase-2를 활성화시키고, 이에 따라 F2,6bisp를 높이고, PFK-1를 낮추고, 따라서 F-6-p가 F1,6bisp로 적게 변환되게하여 혈당을 높입니다.
ex ) Glycogen Syntahse와 Glycogen Phosphorylase가 있을 때, 인슐린은 무조건 인산기를 떨어뜨리는 작용을 합니다. 따라서 인슐린이 작용하여 인산기가 떨어지면 Glycogen Synthase는 활성이 늘어나고 Glycogen Phosphorylase는 비활성화됩니다. 반대로 글루카곤, 에피네프린(혈당을 높임)이 작용하면 인산기를 붙이는 역할을 하여, Glycogen Synthase는 비활성화되고 Glycogen Phosphorlyase는 활성화됩니다.
절편화에 의한 조절은 (단백질로 이루어진) 효소들이 단백질 분해효소에 의해 분해가 되어 활성을 조절하는 방법입니다.
단백질 분해효소(효소를 분해해서 활성화시키는 애들)의 대표적 예시로는 키모트립시노겐, 트립시노겐 등이 있습니다.
공유결합에 의한 조절은 효소 키모트립신에 의한 조절이 있습니다. 키모트립신은 효소의 역할을 하고 공유결합을 하여 비활성화 됩니다. (다시 효소로 작용할 수 없음)
특이활성도
효소의 실제 농도를 아는 경우만 있는 것은 아니므로, 효소의 양은 간접적으로 활성의 양으로 알 수 있습니다. 단백질의 정제과정을 거칠수록 다른 단백질이 제거되기 때문에 효소의 비활성이 증가합니다. 즉, 효소 정제의 정도가 늘어날수록 비활성이 증가합니다. 특이활성도는 여러 종류 단백질에 대해 특정 효소가 나타나는 기질에 대한 활성으로, 단순히 효소의 양이 늘어난다고 하여 효소의 특이활성도가 증가하는 것은 아닙니다.
'자연과학(PEET) > 생명과학' 카테고리의 다른 글
| [세포생물학] 세포소기관의 기능과 특징 (핵, 리보솜, 소포체, 골지체, 리소좀, 프로테아좀, 액포) (0) | 2021.03.07 |
|---|---|
| [세포생물학] 세포 관찰 실험과 원핵세포(그람양성/음성균, 고세균) 특징 (2) | 2021.03.01 |
| [세포생물학] 세포막 : 막단백질의 물질 투과 및 수송 (+ 미카엘리스-멘텐 식) (0) | 2021.02.08 |
| [세포생물학] 세포막의 구조 : 인지질/당지질의 비대칭성과 인지질/단백질의 유동성 (0) | 2021.02.07 |
| [세포생물학] 핵산 : 뉴클레오타이드들의 연결과 DNA의 이중나선구조 (0) | 2021.02.06 |