자연과학(PEET)/일반물리
[열역학] 등압조건에서의 열역학 문제 (2013학년도 8번 풀이)
restudy
2021. 2. 21. 18:39
반응형
문제

문제를 읽어보면 피스톤을 고정시키지 않고 외부 압력을 일정하게 유지시킨채로 온도에 변화를 주었으므로 등압조건이라고 할 수 있습니다. 등압조건에서의 열역학 문제를 해결해봅시다.
풀이

우선 이상기체 상태방정식에서 응용된 식인 PV/T = 일정을 이용하여 나중 온도를 구해보면 나중 온도는 2T_0임을 알 수 있습니다.

그 다음 문제가 등압조건이므로 W = P delta V = nR delta T임을 이용해주면 기체가 외부에 한 일은 RT_0임을 알 수 있습니다.

보기 ㄴ에선느 기체의 평균 운동에너지에 대해서 묻고 있는데 기체의 평균운동에너지는 3/2 kT이므로 오직 절대온도에만 비례하는 수치입니다. 온도가 실제로 T_0에서 2T_0로 두 배 증가하였으므로 보기 ㄴ은 맞음을 알 수 있습니다.

보기 ㄷ에서는 기체의 엔트로피 변화량에 대해 묻고 있는데 delta S = delta Q / T이므로 이를 이용해주면 Q가 0이 아니므로 (Q가 0이려면 단열과정이어야 하는데 그렇지 않았으므로) delta S 또한 0이 아니고 따라서 엔트로피 변화량은 존재합니다.
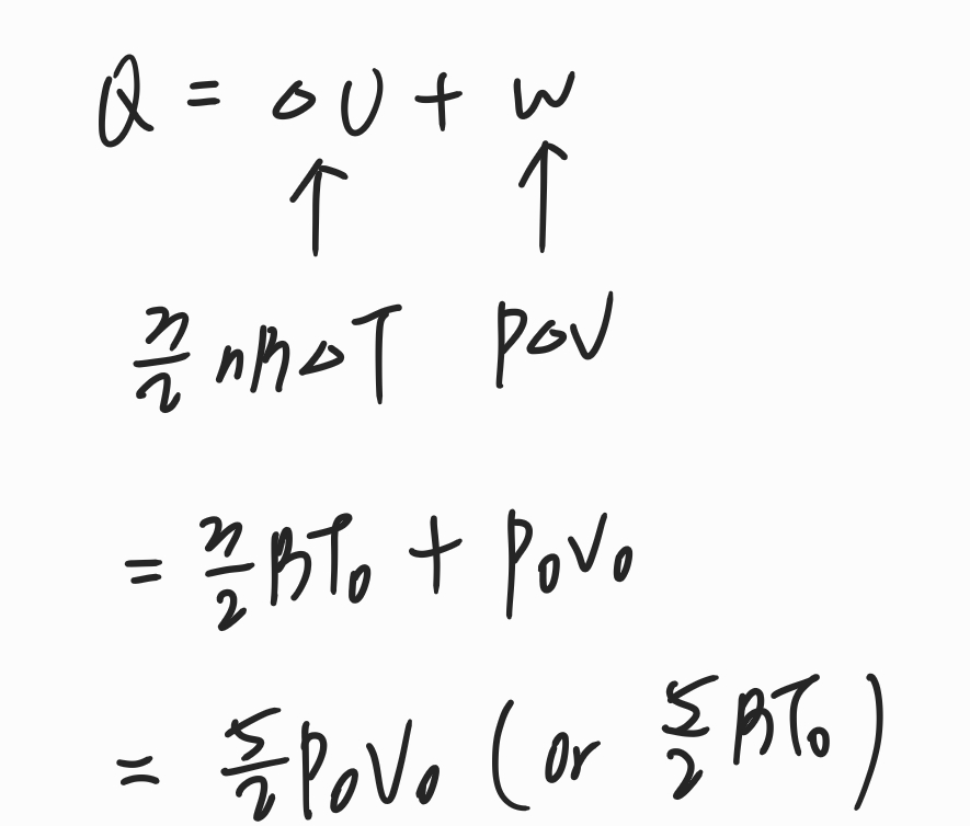
+ 그렇다면 가해준 열량 Q는 총 얼마가 될까요? 정답은 다음과 같습니다.

단원자이므로 delta U = 3/2 nR delta T이고 계산해주면 5/2 P_0V_0가 얻어집니다.
반응형